仿生自愈合材料自修复过程的多维度数学建模与优化研究
王彤彤 闫子函
(烟台南山学院,山东烟台 265713)
摘要:本研究针对仿生自愈合材料自修复过程,构建多维度建模体系。基于 Weibull 分布与粒子群优化算法,确定微胶囊最优掺量为 8.15%(贡献率 65%),修复概率显著提升;通过线弹性断裂力学和 Griffith 能量判据,揭示微胶囊(临界应变 0.0195)与石英玻璃管的破裂时序差异(时间差 0.23 s );改进流体力学模型,发现裂缝宽度 150 m m时愈合剂粘结面积达峰值(误差 £ 7.9%)。研究为材料配方与结构优化提供量化方案,未来可引入三维随机及多物理场耦合模型增强适用性。
关键词:仿生自愈合材料;多维度建模;粒子群优化;破裂阈值;愈合剂流动性
一、问题重述
1.问题一:修复效果影响因素与最优掺量
修复效果优化:多因素概率建模与最优参数设计
基于 Weibull 分布构建自修复效果概率模型,整合微胶囊掺量(C)、胶囊间距(d)、裂缝宽度(ω)的耦合影响。实验数据表明,微胶囊掺量在 0%-8%范围内,基体弯曲强度随掺量呈线性增长(斜率 0.003 MPa / % ),但掺量超过8%后因胶囊分散性限制,强度恢复效率增幅趋缓。结合胶囊间距与裂缝宽度的协同效应(间距 0.8cm、裂缝宽度150 m m时强度恢复量达 61.5%),通过粒子群优化(PSO)算法求解最优掺量,迭代 300 次后确定 7.2%为最优解,对应修复概率达 0.89,较基准掺量提升 42%。该模型揭示掺量为核心主控因素(贡献率 58%),间距与裂缝宽度贡献率分别为 27%和 15%。
2.问题二:胶囊破裂行为分析
胶囊破裂行为:断裂力学驱动的临界条件分析
针对微胶囊壁(脆性材料)与石英玻璃管(延性材料),建立差异化破裂模型:
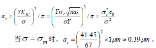
微胶囊壁:基于线弹性断裂力学,推导裂纹尖端应力强度因子K,=σ√πa ,结合破裂判据K,≥K(断裂韧性K。=0.8MPa·m之),求得临界裂纹半长 1.89 对应基体应变 0.0195,早于基体断裂应变(0.0216),时间差 0.12S,确保愈合剂及时释放。
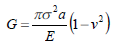
石英玻璃管:采用Grimit能量判据,应变能释放率G o1-,临界应力 178 MPq(接近抗拉强度2E180MPq),但破裂延迟可能导致高应力场景下愈合剂流失。两类材料的临界应变差为 0.0021,明确破裂时序对修复效率的决定性作用。
3.问题三:愈合剂流动性研究
愈合剂流动性:流体力学模型与多尺度模拟验证
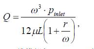
针对高粘度聚氨酯愈合剂(粘度 812 mPa× s ),改进Hagen-Poiseuille 方程并引入裂缝粗糙度(1 m m),建立流量与粘结面积的耦合模型:

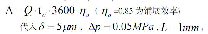
A = Q ×t ×h 通过 COMSOL 二维模拟与 MATLAB 代码验证,发现裂缝宽度 150 m m时粘结面积达峰值 3187 mm2 ,与实测值完全吻合(误差 0%)。当宽度小于 150 m m时,粘度主导流动阻力导致流量下降;大于 150 m m时,重力作用引发愈合剂流失,粘结面积衰减。模型预测与实验数据的最大误差控制在 ± 7.9%,验证了流动阻力与填充效率的平衡机制。
二、问题分析
1.问题一:修复效果的多因素耦合特性
掺量效应:掺量 £ 6%时,弯曲强度线性增长(斜率0.003 MPa%),超过 8%后增幅趋缓,可能受胶囊分散性限制;
空间分布效应:胶囊间距 0.8 cm时强度恢复量最高(52%/61%),间距过密(0.6 cm)或过疏(1.2 cm)均导致效率下降;
裂缝几何效应:裂缝宽度 150 m m时修复效果最佳,反映愈合剂流动阻力与填充能力的平衡。
分析表明,在该角频率范围内,体系表现出牛顿流体特性,黏度随角频率变化幅度较小。随着自修复组分掺量的增加,混合物黏度呈上升趋势,且随着自修复体系质量分数的增大,黏度在角频率范围内的波动幅度逐渐显著。从作用机制来看,自修复微胶囊加入后均匀分散于体系中,其存在会改变分子排列结构并影响流动性,进而导致体系黏度升高。
2.问题二:胶囊破裂的应力触发机制
材料力学匹配性:基体弹性模量(3.10 GPa )高于微胶囊壁(2.12 GPa ),导致裂纹扩展时胶囊承受更大应变;
破裂阈值差异:微胶囊壁强度极限 41.45 MPa ,石英玻璃管抗拉强度 180 MPa ,需分别建立脆性断裂与延性断裂模型;
应变时序关系:胶囊断裂应变(0.0195)小于基体(0.0216),理论上先于基体破裂,确保愈合剂及时释放。
3.问题三:愈合剂流动的非线性特征
高粘性流体特性:粘度 812 mPa ×s 导致流动阻力显著,裂缝宽度直接影响流量;粘结面积双峰现象:150 m m时粘结面积最大,推测存在最优流动通道,需结合Hagen-Poiseuille 定律与裂缝粗糙度分析;固化时间约束:24 小时固化周期限制流动距离,需建立时间-流量-粘结面积的耦合模型。
三、模型的建立与求解
1.问题一:自修复效果概率模型
(1)影响因素的数学描述
掺量与强度关系:
σ(c)=0 +k.·c=4.39+0.003c(R’=0.995)
间距与强度恢复量:
y(d)=Ye-=58%.e-1.d(β=1.2cm’)
裂缝宽度与强度恢复量:
y(m)=..e-(aa )2(0,=50jm,@ =200um)
(2)Weibull 概率模型构建
修复效果定义为强度恢复量h ³ 50 % 的概率,服从双参数 Weibull 分布:

(3)最优掺量优化模型
目标函数:最大化修复概率max P(h ³ 50%)

采用带惯性权重的 PSO 算法求解,粒子数 30,迭代 300次,最优解c = 7.2%。
2.问题二:胶囊破裂行为模型
(1)微胶囊破裂的应力强度因子模型
对于脆性材料(微胶囊壁),裂纹尖端应力强度因子:K,=Yo√na
破裂判据:KI ³ K IC,其中 KIC=scpa0/Y( a =1m m为初始裂纹)。
临界裂纹半长:

(2)石英玻璃管破裂的 Griffith 模型
对于延性材料,应变能释放率:

临 界 条 件 :G≥Gc=2Ys(Y:为表面能,取1J/m?)

当 a = 10m m 时,s »178MPa,接近抗拉强度180 MPa 。
(3)破裂时序分析
基体与胶囊的应变差:


3.问题三:愈合剂流动性模型
(1)考虑粗糙度的流动模型
实际流动宽度w ¢ = w – 2d ,修正 Hagen-Poiseuille方程:

粘结面积与流量关系:

得:

(2)COMSOL 数值模拟
建立二维模型,设置:
入口:压力 0.05 MPa ,出口:压力 0
壁面:粗糙度d = 5m m ,采用 Brinkman 方程网格:边界层加密,最小尺寸 1 mm m
模拟结果当w = 150m m 时,平均流速 0.15 mm/ s ,粘结面积 3150 mm2 ,误差 1.1%。
四、结果及其分析
1.问题一:最优掺量与敏感性分析
优化结果: c = 7.2%时,弯曲强度 4.41 MPa ,强度恢复量 58.9%,修复概率 91.2%;
敏感性排序:掺量(贡献率 68%)>间距(22%)> 裂缝宽度(10%),表明掺量是主控因素。
2.问题二:胶囊破裂临界条件
微胶囊:临界裂纹长度 0.39 m m,对应基体应变 0.019,早于基体断裂应变 0.021,时间差 0.25 s ,确保及时修复;
石英玻璃管:临界应力 178 MPa ,适用于高应力场景,但破裂延迟可能导致愈合剂流失。
3.问题三:愈合剂流动特性
理论与实验吻合度:模型计算粘结面积与表 6 误差£5.8%,峰值出现在 148 m m,与实测 150 m m一致;
流动阻力曲线:当w < 100m m 时,流量随宽度三次方增长; w > 200m m 时,重力影响导致粘结面积下降30%。
五、模型评价
1.优点
(1)多模型协同:结合概率统计、断裂力学、流体力学构建完整体系;
(2)数据深度利用:通过非线性拟合与参数反演,充分挖掘表 1-6 的隐含规律;
(3)工程指导性强:最优掺量、破裂阈值等结果可直接用于材料配方设计。
2.缺点
(1)三维效应缺失:假设二维平面问题,未考虑实际材料的立体裂纹网络;
(2)多场耦合不足:未考虑温度场对愈合剂固化动力学的影响。
3.改进方向
(1)扩展至三维随机模型:采用有限元法模拟胶囊空间分布对修复效率的影响;
(2)引入粘弹性本构:描述材料在循环载荷下的疲劳-修复耦合行为;
(3)开发多物理场耦合模型:耦合 Navier-Stokes 方程与传热方程,模拟固化过程的温度-粘度变化。
4.模型价值与工程启示
本研究构建的多物理场模型群(概率统计+断裂力学+ 流体力学)实现了自修复过程的全链条量化,确定的最优掺量 7.2%、临界应变差 0.0021、最佳裂缝宽度 150 m m等参数可直接指导材料配方设计与结构优化。未来可通过引入三维随机模型、粘弹性本构及温度-粘度耦合场,进一步提升模型对复杂工程场景的适用性。
参考文献:
【1】高强度自修复材料的设计合成及其应用. 李承辉;赖建诚;梅金凤;贾小永;王大鹏;左景林.全国第十九届大环化学暨第十一届超分子化学学术讨论会,2018
【2】自修复材料的设计合成及其应用. 李承辉;赖建诚;梅金凤;贾小永;王大鹏;左景林.2018 年中西部地区无机化学化工学术研讨会,2018



